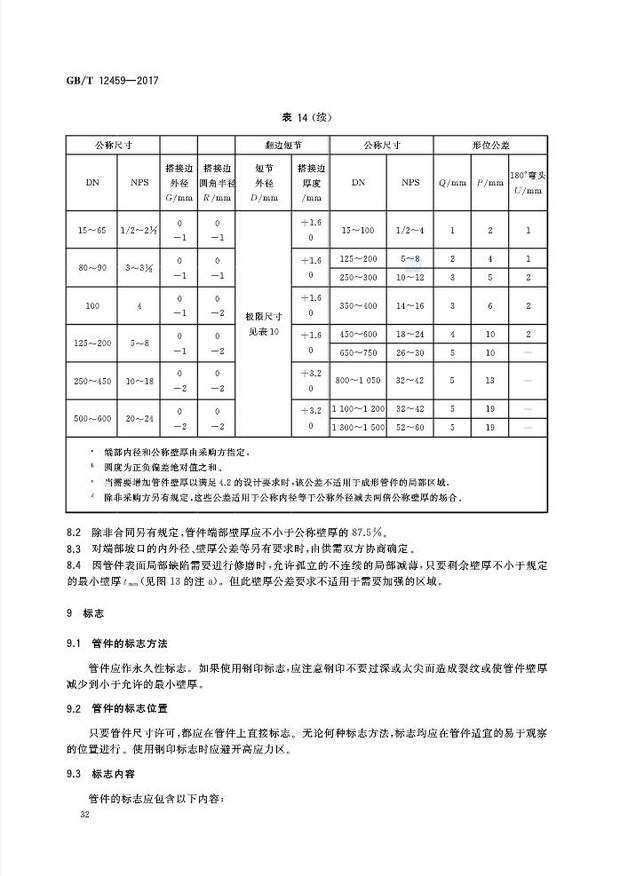
GB/T12459-2017钢制对焊管件 类型与参数
- 分类:看片软件免费资料
- 作者:看片免费APP网站管道
- 来源:河北看片免费APP网站管道有限公司
- 发布时间:2019-09-10
- 访问量:934
【概要描述】
GB/T12459-2017钢制对焊管件 类型与参数
【概要描述】
- 分类:看片软件免费资料
- 作者:看片免费APP网站管道
- 来源:河北看片免费APP网站管道有限公司
- 发布时间:2019-09-10
- 访问量:934
详情












































河北看片免费APP网站管道有限公司主网站:http://www.xmzhufei.com
扫二维码用手机看
- 联系电话- 0317-6689999 6165555
- 业务邮箱- 9905791@qq.com
- 公司地址- 河北省沧州市盐山县城南工业开发区(中原管道南厂)
- 联系手机-15530461111(微信同步)-孟经理
- 联系电话- 0317-6689999 6165555
- 业务邮箱- 9905791@qq.com
- 公司地址- 河北省沧州市盐山县城南工业开发区(中原管道南厂)
- 联系手机-15530461111(微信同步)-孟经理
版权所有:河北看片免费APP网站管道有限公司 冀ICP备83880398号-6
热线:0317-6165555
9905791@qq.com